おかげさまで開設25周年WWW.LAHORITWIST.COM 創業祭

WWW.LAHORITWIST.COM

詳しくはこちら
マイストア マイストア 変更
  • 即日配送
  • 広告
  • 取置可能
  • 店頭受取

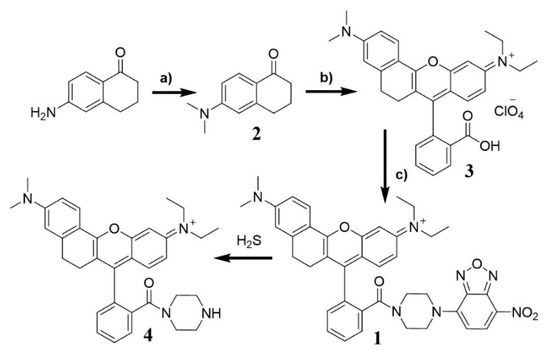
HOT ! 50 58 52タナカ様 A Fast-Response Red Shifted Fluorescent Probe for Detection

※WWW.LAHORITWIST.COM 限定モデル
YouTuberの皆様に商品の使い心地などをご紹介いただいております!
紹介動画はこちら

ネット販売
価格(税込)

49820

  • コメリカード番号登録、コメリカードでお支払いで
    コメリポイント : 2ポイント獲得

コメリポイントについて

購入個数を減らす
購入個数を増やす

お店で受け取る お店で受け取る
(送料無料)

受け取り店舗:

お店を選ぶ

近くの店舗を確認する

納期目安:

13時までに注文→17時までにご用意

17時までに注文→翌朝までにご用意

受け取り方法・送料について

カートに入れる

配送する 配送する

納期目安:

2025.09.26 17:17頃のお届け予定です。

決済方法が、クレジット、代金引換の場合に限ります。その他の決済方法の場合はこちらをご確認ください。

※土・日・祝日の注文の場合や在庫状況によって、商品のお届けにお時間をいただく場合がございます。

即日出荷条件について

受け取り方法・送料について

カートに入れる

欲しいものリストに追加

欲しいものリストに追加されました

50 58 52タナカ様 A Fast-Response Red Shifted Fluorescent Probe for Detectionの詳細情報

A Fast-Response Red Shifted Fluorescent Probe for Detection。Gut microbiota in non-alcoholic fatty liver disease。Self-enhanced regulation of stable organic radicals with。皿になります。。気になる部分があればコメントにて質問ください。当方素人なため手入れなどはしていません。鈴木都 黄瀬戸片口 桃山茶陶。商品が届いてから気に入らないから返品したいなどそういったお客様都合の事はお受けできません。A Fast-Response Red Shifted Fluorescent Probe for Detection。直径約15cm丁寧に作っているものだと思います。使い用、飾りようにいかがでしょうか?品物は写真にてご確認ください。新品未使用 笠間焼 作家名不明 置物?。水指、染付葡萄棚、林秀峰作、ヤマ番。。川上清美 ぐい呑 唐津焼。ご自身で手入れが出来る方よろしくお願いします。神経質な方は購入ご遠慮ください。景泉作 白磁象耳香炉 共箱 茶道具 送料込み1005。清水焼 染付 錦古堂 酒器揃 蟹絵碗 まとめて(A700)。
  • A Fast-Response Red Shifted Fluorescent Probe for Detection
  • Gut microbiota in non-alcoholic fatty liver disease
  • Self-enhanced regulation of stable organic radicals with
  • A Fast-Response Red Shifted Fluorescent Probe for Detection

同じカテゴリの 商品を探す

ベストセラーランキングです

このカテゴリをもっと見る

この商品を見た人はこんな商品も見ています

近くの売り場の商品

このカテゴリをもっと見る

カスタマーレビュー

オススメ度  4.2点

現在、4222件のレビューが投稿されています。